記事
速報
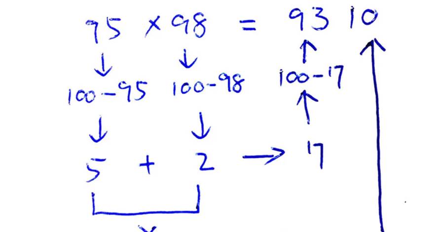
掛け算の裏技!印象を大きく変えた。
2026/02/08
「Skip Ad」をクリックして、広告をスキップする
video
読み込み中...
「掛け算」は多くの人にとって、子どもの頃に最初につまずきやすい分野だ。九九をただ暗記するだけでは、数字の意味が見えず、苦手意識だけが残ってしまうことも少なくない。しかし、あるとき教えられた「掛け算の裏技」が、その印象を大きく変えた。たとえば9×7を10×7−7と考えるだけで、計算は一気に楽になる。数字を分解し、仕組みとして理解することで、答えは自然と導き出せるのだ。
#勉強
広告
友達にシェア
AD
お勧め
【無理ゲー】たくさんの合体漢字が混ざってしまいました【なにその漢字】
2026/01/19
英語はいつはじめてもOK!みんなと365日で英語を学び直し【1日目】「I'm」だけでこんなに話せる。聞き流し+型で瞬間英作文+3秒英作文トレーニング
2026/01/19
○○を使えば小学生でも解ける!?余弦定理は使用不可!【中学受験算数】!
2026/01/14
シンプル過ぎる図形!解くことができますか?興味深い解き方で答えを求めます!【数学】
2026/01/13
漢字クイズ【郎女】読めたらスゴイ!読めそうで読めない漢字
2026/01/13
これ小学生が解くってマジ?
2026/01/08
【ひらめき】【小学生でも解ける】面積問題【数学】
2026/01/06
ネイティブの英語が聞き取れるようになる!海外アニメで英語リスニング with Curious George
2025/12/04
英語が聞き取れるようになる魔法の練習法!
2025/12/04
【面白い数学問題】きまりが分かった!・・・あれ?
2025/12/04
【面白い数学問題】小学生向けの難問解けますか?
2025/12/04
【面白い数学問題】小学生でも解けて大人でも解けない図形問題4
2025/12/04
【面白い数学問題】これで問題が成立するの?します!
2025/12/04
【面白い数学問題】簡単そうで難しい角度の問題
2025/12/04
【面白い数学問題】答えが2つ?算数オリンピックにチャレンジ!
2025/12/04
【面白い数学問題】小学生でも解けて大人でも解けない図形問題3
2025/12/04
【面白い数学問題】犠牲者が出ないように考えてください。
2025/12/04
【面白い数学問題】面積パズルを解いてみよう!
2025/12/04
英語の聞こえ方が1分で変わってしまう!?非常識な「シラブル音読」トレーニング!音読・シャドーイングでも効果がなかった、という人のための
2025/12/04
記事
速報